Contoh Soal dan Pembahasan Trigonometri Kelas X Kurikulum 2013
contoh soal dan pembahasan trigonometri - Materi trigonometri yaitu salah satu pelajaran yang mimin suka di kelas 10 alasannya yaitu mimin suka gambar segitiga atau bulet-bulet gitu.
banyak cara yang dapat digunakan untuk menyelesaikan persamaan trigonometri salah satunya dengan menggunakan aturan sinus dan aturan kosinus.
mimin bagiin ya soal dan pembahasan trigonometri nya ya. simak baik-baik agar mudah memahaminya.
Saran Artikel: Rangkuman bahan Trigonometri
soal dan pembahasan trigonometri
Soal No. 1
Pada suatu lingkaran dibuat sebuah segi delapan beraturan menyerupai gambar di bawah.
Jari-jari bulat yaitu 12 cm.
Tentukan:
a) panjang sisi segi-8
b) kelililing segi delapan tersebut!
Pembahasan
Segi delapan tersusun dari 8 buah segitiga sama kaki, dengan kedua kakinya panjangnya 12 cm, sama dengan jari-jari lingkaran.
Ambil satu segitiga,
a) panjang sisi segi-8
Terapkan aturan kosinus sebagai berikut:
b) Keliling segi delapan yaitu 8 kali dari panjang sisinya
Soal No. 2
Dalam suatu bulat berjari-jari 8 cm, dibuat segi-8 beraturan. Tentukan panjang sisi segi-8 tersebut!
Pembahasan
n = 8
r = 8 cm
Disini akan digunakan rumus jadi menentukan panjang sisi dari suatu segi-n dalam bulat yang berjari-jari r
atau bentuk lain
dengan format kedua diperoleh
Soal No. 3
Nyatakan sudut-sudut berikut dalam satuan derajad:
a) 1/2 π rad
b) 3/4 π rad
c) 5/6 π rad
Pembahasan
Konversi:
1 Ï€ radian = 180°
Jadi:
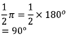
a) 1/2 π rad
b) 3/4 π rad
c) 5/6 π rad
Soal No. 4
Nyatakan sudut-sudut berikut dalam satuan radian (rad):
a) 270°
b) 330°
Pembahasan
Konversi:
1 Ï€ radian = 180°
Jadi:
a) 270°
b) 330°
Soal No. 5
Diberikan sebuah segitiga siku-siku menyerupai gambar berikut ini.
Tentukan:
a) panjang AC
b) sin θ
c) cos θ
d) tan θ
e) cosec θ
f) sec θ
d) cotan θ
Pembahasan
a) panjang AC
Dengan phytagoras diperoleh panjang AC
b) sin θ
c) cos θ
d) tan θ
e) cosec θ
f) sec θ
g) cotan θ
Soal No. 6
Seorang anak bangkit 20 meter dari sebuah menara menyerupai gambar berikut.
Perkirakan ketinggian menara dihitung dari titik A! Gunakan √2 = 1,4 dan √3 = 1,7 kalau diperlukan.
Pembahasan
tan 60 ° yaitu √3, asumsinya sudah dihafal. Sehingga dari pengertian tan sudut
Tinggi menara sekitar 34 meter.
Soal No. 7
Sebuah segitiga siku-siku.
Diketahui nilai dari sin β = 2/3. Tentukan nilai dari :
a) cos β
b) tan β
Pembahasan
sin β = 2/3 artinya perbandingan panjang sisi depan dengan sisi miringnya yaitu 2 : 3
Gunakan phytagoras untuk menghitung panjang sisi yang ketiga (sisi samping):
Sehingga nilai cos β dan tan β berturut-turut adalah
Soal No. 8
Perhatikan gambar segitiga di bawah ini!
Tentukan perbandingan panjang sisi AB dan BC!
Pembahasan
Pada segitiga berlaku:
Sehingga perbandingan AB : BC = √2 : √3
Baca Juga : soal dan pembahasan eksponen dan logaritma
klik link diatas untuk melanjutkan soal dan pembahasan trigonometri nomer 9- selesai.





























0 Response to "Contoh Soal dan Pembahasan Trigonometri Kelas X Kurikulum 2013"
Post a Comment